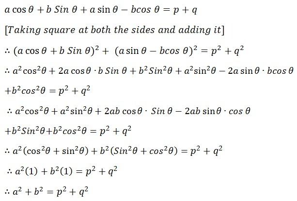
SOLUTION: a cos⁡〖θ+〗 b sin⁡〖 θ=p and a sin⁡〖θ-bcos θ=q ,then〗 prove that〗 a^2+b^2=p^2+q^2

Algebra ->  Trigonometry-basics -> SOLUTION: a cos⁡〖θ+〗 b sin⁡〖 θ=p and a sin⁡〖θ-bcos θ=q ,then〗 prove that〗 a^2+b^2=p^2+q^2       Log On


   



Question 917683: a cos⁡〖θ+〗 b sin⁡〖 θ=p and a sin⁡〖θ-bcos θ=q ,then〗 prove that〗
a^2+b^2=p^2+q^2

Answer by nihar*2013(34) About Me  (Show Source):