Question 915200: Someone please help solve this?
Use the given information to find the exact value of each of the following.
a) sin of 2 theta
b)cosine of 2 theta
c) tan of 2 theta
given sin theta = 6 (sin theta lies in quadrant III)
Answer by KMST(5328) (Show Source):
You can put this solution on YOUR website! You seem to have a typo.
Sine and cosine are always between -1 and 1,
so could never be 6.
Also, an angle in quadrant III has a negative sine,
so maybe it was supposed to be sin(theta) = -0.6 .
Given ,
we know that ,
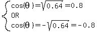
so --> --> --> -->
Because lies in quadrant III,
we know that ,
so .
Now we can apply all those trigonometric identities to find the double angle functions:
a) ,
so --> 
b) ,
so --> --> 
c) ,
so --> 
That , with the repeating forever is the exact value.
|
|
|