SOLUTION: Please help me to factor and simplify this (x^2-25)/(2x-2) divided by (x^2+10x+25)/ (x^2+4x-5) thanks

Algebra ->  Trigonometry-basics -> SOLUTION: Please help me to factor and simplify this (x^2-25)/(2x-2) divided by (x^2+10x+25)/ (x^2+4x-5) thanks      Log On


   



Question 914675: Please help me to factor and simplify this
(x^2-25)/(2x-2) divided by (x^2+10x+25)/ (x^2+4x-5)



thanks

Found 2 solutions by MathLover1, lwsshak3:
Answer by MathLover1(20850) About Me  (Show Source):
Answer by lwsshak3(11628) About Me  (Show Source):
You can put this solution on YOUR website!
factor and simplify this
(x^2-25)/(2x-2) divided by (x^2+10x+25)/ (x^2+4x-5)
%28%28x%5E2-25%29%2F%282x-2%29%29%2F%28%28x%5E2%2B10x%2B25%29%2F%28x%5E2%2B4x-5%29%29
%28%28x%5E2-25%29%2F%282x-2%29%29%2A%28%28x%5E2%2B4x-5%29%2F%28x%5E2%2B10x%2B25%29%29
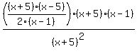
%28%28x%2B5%29%28x-5%29%2F2%28x-1%29%29%2A%28x%2B5%29%28x-1%29%2F%28x%2B5%29%5E2%29
=(x-5)/2