SOLUTION: sin theta = 7/25 and 90 degrees < theta < 180 degrees find tan 2theta

Algebra ->  Trigonometry-basics -> SOLUTION: sin theta = 7/25 and 90 degrees < theta < 180 degrees find tan 2theta      Log On


   



Question 907799: sin theta = 7/25 and 90 degrees < theta < 180 degrees
find tan 2theta

Answer by Edwin McCravy(20060) About Me  (Show Source):
You can put this solution on YOUR website!
Draw the angle in QII by drawing a right triangle in QII that
has an angle with sine of 7/25.

Since the sine is opposite%2Fhypotenuse=y%2Fr make the opposite
side or y equal to the numerator of 7/25, which is 7, and the 
hypotenuse or r equal to the denominator of 7/25, or 25.  I will
indicate the angle by the red curved line.



Calculate the adjacent side or x by the Pythagorean theorem:

r%5E2=x%5E2%2By%5E2

25%5E2=x%5E2%2B7%5E2

625=x%5E2%2B49

576=x%5E2

%22%22+%2B-+sqrt%28576%29=x

-24=x

We take x as negative because x goes left in QII.



 
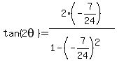
tan%282theta%29=2tan%28theta%29%2F%281-tan%5E2%28theta%29%29

Since tan%28theta%29=opposite%2F%28adjacent%29=y%2Fx=7%2F%28-24%29=-7%2F24,

tan%282theta%29=2%28-7%2F24%29%2F%281-%28-7%2F24%29%5E2%29

tan%282theta%29=%28-7%2F12%29%2F%281-%2849%2F576%29%29

tan%282theta%29=%28-7%2F12%29%2F%28%28576%2F576%29-%2849%2F576%29%29

tan%282theta%29=%28-7%2F12%29%2F%28527%2F576%29

tan%282theta%29=%28-7%2F12%29%2A%28576%2F527%29

The 12 goes into 576 48 times, so that simplifies to

tan%282theta%29=-336%2F527

Edwin