SOLUTION: Find the remaining trigonometric ratios. cos(x) = - 1/3, &#960; < x < 3&#960;/2 sin tan

Algebra ->  Trigonometry-basics -> SOLUTION: Find the remaining trigonometric ratios. cos(x) = - 1/3, &#960; < x < 3&#960;/2 sin tan       Log On


   



Question 898845: Find the remaining trigonometric ratios.
cos(x) = - 1/3, π < x < 3π/2
sin
tan


Answer by Edwin McCravy(20056) About Me  (Show Source):
You can put this solution on YOUR website!
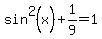
sin%5E2%28x%29%2Bcos%5E2%28x%29=1
sin%5E2%28x%29%2B%28-1%2F3%29%5E2=1
sin%5E2%28x%29%2B1%2F9=1
9sin%5E2%28x%29%2B1=9
9sin%5E2%28x%29=8
sin%5E2%28x%29=8%2F9
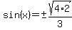
sin%28x%29=%22%22+%2B-+sqrt%288%2F9%29
sin%28x%29=%22%22+%2B-+sqrt%288%29%2F3
sin%28x%29=%22%22+%2B-+sqrt%284%2A2%29%2F3
sin%28x%29=%22%22+%2B-+2sqrt%282%29%2F3

Since π < x < 3π/2 is quadrant III, 
we take the negative answer

sin%28x%29=-2sqrt%282%29%2F3



Edwin