SOLUTION: My question was log of sqrt (x (sqrt (2y (sqrt (z)))) What I did was (1/2)logx sqrt (2y (sqrt (z)) (1/2)logx(1/4)logy^2 sqrt (z) (1/2)logx(1/4)logy^2(1/8)logz Then fac

Algebra ->  Trigonometry-basics -> SOLUTION: My question was log of sqrt (x (sqrt (2y (sqrt (z)))) What I did was (1/2)logx sqrt (2y (sqrt (z)) (1/2)logx(1/4)logy^2 sqrt (z) (1/2)logx(1/4)logy^2(1/8)logz Then fac      Log On


   



Question 890524: My question was log of sqrt (x (sqrt (2y (sqrt (z))))
What I did was (1/2)logx sqrt (2y (sqrt (z))
(1/2)logx(1/4)logy^2 sqrt (z)
(1/2)logx(1/4)logy^2(1/8)logz
Then factored that to (1/2)[logx(1/2)logy^2(1/4)logz]
But my professor counted it as wrong and I hope it's not too confusing the way that I typed it but the formula system wouldn't work for me. I just wanted to see where I went wrong with this question. Thank you!

Found 2 solutions by Alan3354, MathTherapy:
Answer by Alan3354(69443) About Me  (Show Source):
You can put this solution on YOUR website!
My question was log of sqrt (x (sqrt (2y (sqrt (z))))
----
1st, that's not a question.
Questions are, eg, what? when? where? - etc
----
What I did was (1/2)logx sqrt (2y (sqrt (z))
(1/2)logx(1/4)logy^2 sqrt (z)
(1/2)logx(1/4)logy^2(1/8)logz
Then factored that to (1/2)[logx(1/2)logy^2(1/4)logz]
But my professor counted it as wrong and I hope it's not too confusing the way that I typed it but the formula system wouldn't work for me. I just wanted to see where I went wrong with this question. Thank you!
------------
It is too confusing/ambiguous. Can you scan it and send it to gsihoutx@aol.com?

Answer by MathTherapy(10839) About Me  (Show Source):
You can put this solution on YOUR website!
My question was log of sqrt (x (sqrt (2y (sqrt (z)))) 

What I did was (1/2)logx sqrt (2y (sqrt (z))

(1/2)logx(1/4)logy^2 sqrt (z)

(1/2)logx(1/4)logy^2(1/8)logz

Then factored that to  (1/2)[logx(1/2)logy^2(1/4)logz] 

But my professor counted it as wrong and I hope it's not too confusing the way that I typed it but the formula system wouldn't work for me. I just wanted to see where I went wrong with this question. Thank you! 
*************************************************
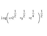
If it's log+%28sqrt%28x%2Asqrt%282y%2Asqrt%28z%29%29%29%29, then:
 =log%28sqrt%28x%2A%282y%2Az%5E%281%2F2%29%29%5E%281%2F2%29%29%29%29 = 
log%28%28x%2A2%5E%281%2F2%29y%5E%281%2F2%29z%5E%281%2F4%29%29%29%5E%281%2F2%29 = %281%2F2%29log%28%28x%2A2%5E%281%2F2%29y%5E%281%2F2%29z%5E%281%2F4%29%29%29, or %281%2F2%29log%28%282%5E%281%2F2%29xy%5E%281%2F2%29z%5E%281%2F4%29%29%29
OR
 = log%28%28x%5E%281%2F2%29%2A2%5E%281%2F4%29y%5E%281%2F4%29z%5E%281%2F8%29%29%29, or log%28%282%5E%281%2F4%29x%5E%281%2F2%29%2Ay%5E%281%2F4%29z%5E%281%2F8%29%29%29