SOLUTION: if A is a acute angle.and cosA = 15/17 , wht will be the value of . COT ( 90- A )

Algebra ->  Trigonometry-basics -> SOLUTION: if A is a acute angle.and cosA = 15/17 , wht will be the value of . COT ( 90- A )      Log On


   



Question 885621: if A is a acute angle.and
cosA = 15/17 , wht will be the value of . COT ( 90-
A )

Answer by KMST(5328) About Me  (Show Source):
You can put this solution on YOUR website!
cot%2890%5Eo-A%29=tan%28A%29 so you have to find tan%28A%29 , and tan%28A%29=sin%28A%29%2Fcos%28A%29 .
You know that cos%5E2%28A%29%2Bsin%5E2%28A%29=1 so you can find sin%28A%29 .
%2815%2F17%29%5E2%2Bsin%5E2%28A%29=1
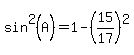
sin%5E2%28A%29=1-%2815%2F17%29%5E2
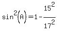
sin%5E2%28A%29=1-15%5E2%2F17%5E2
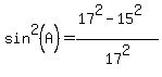
sin%5E2%28A%29=17%5E2%2F17%5E2-15%5E2%2F17%5E2
sin%5E2%28A%29=%2817%5E2-15%5E2%29%2F17%5E2
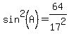
sin%5E2%28A%29=%28289-225%29%2F17%5E2
sin%5E2%28A%29=64%2F17%5E2
sin%28A%29=sqrt%2864%2F17%5E2%29
sin%28A%29=sqrt%2864%29%2F17%29
sin%28A%29=8%2F17