You can put this solution on YOUR website! Wow! Congratulations; you are one of the very few people (maybe the first person I have ever seen!) to actually use the formula notation! Thank you; it makes it easier for us that way. ;-)
---
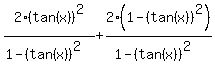
Let us first work from the left side and see if we can get to the right side. First, use the formula for tan(2x) ():
---
Now, create a common denominator with 2 and combine:
---
Therefore, we now have . Let us now work from the right side:
---
That is the same as the left side, so we are now left with the true statement -- the identity is verified. I hope this helps! =D