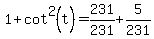
SOLUTION: Find the exact values of the six trigonometric functions of t given cost=-5/16, tan t> 0. Then find the exact value of 1+cot^2t. --I found values but feel like they are wrong,

Algebra ->  Trigonometry-basics -> SOLUTION: Find the exact values of the six trigonometric functions of t given cost=-5/16, tan t> 0. Then find the exact value of 1+cot^2t. --I found values but feel like they are wrong,       Log On


   



Question 878043: Find the exact values of the six trigonometric functions of t given cost=-5/16, tan t> 0. Then find the exact value of 1+cot^2t.
--I found values but feel like they are wrong, but do not know where i went wrong.
sint= -squareroot of 231 divided by 16
tant= squareroot of 231 divided by 5
I feel like 231 is not correct, but i cannot see where i could have gone wrong

Answer by Fombitz(32388) About Me  (Show Source):