SOLUTION: given a right triangle with an acute angle (alpha) and given trig value, find the other five trig values. Do not estimate and give answer in radical form. sin(alpha)=(3/8)

Algebra ->  Trigonometry-basics -> SOLUTION: given a right triangle with an acute angle (alpha) and given trig value, find the other five trig values. Do not estimate and give answer in radical form. sin(alpha)=(3/8)      Log On


   



Question 875997: given a right triangle with an acute angle (alpha) and given trig value, find the other five trig values. Do not estimate and give answer in radical form.
sin(alpha)=(3/8)

Answer by Alan3354(69443) About Me  (Show Source):
You can put this solution on YOUR website!
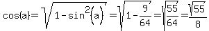
given a right triangle with an acute angle (alpha) and given trig value, find the other five trig values. Do not estimate and give answer in radical form.
sin(alpha)=(3/8)
-------------

---
tan = sin/cos
cot = cos/sin
sec = 1/cos
csc = 1/sin
-------
All are positive.