SOLUTION: find exact value of tan 2 theta when given sin theta=3/5 and pi/2 < theta < pi

Algebra ->  Trigonometry-basics -> SOLUTION: find exact value of tan 2 theta when given sin theta=3/5 and pi/2 < theta < pi      Log On


   



Question 872997: find exact value of tan 2 theta when given sin theta=3/5 and pi/2 < theta < pi
Answer by jim_thompson5910(35256) About Me  (Show Source):
You can put this solution on YOUR website!
sin%28theta%29+=+3%2F5


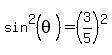
sin%5E2%28theta%29+=+%283%2F5%29%5E2


sin%5E2%28theta%29+=+9%2F25


1-sin%5E2%28theta%29+=+1-9%2F25


1-sin%5E2%28theta%29+=+25%2F25-9%2F25


1-sin%5E2%28theta%29+=+16%2F25


cos%5E2%28theta%29+=+16%2F25


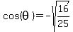
cos%28theta%29+=+-sqrt%2816%2F25%29 Note: because pi%2F2+%3C+theta+%3C+pi, this means theta is in quadrant II (where cosine is negative)


cos%28theta%29+=+-4%2F5


-----------------------


tan%28theta%29+=+%28sin%28theta%29%29%2F%28cos%28theta%29%29


tan%28theta%29+=+%28%283%2F5%29%29%2F%28%28-4%2F5%29%29


tan%28theta%29+=+%28%283%2F5%29%29%2A%28%28-5%2F4%29%29


tan%28theta%29+=+%283%2A%28-5%29%29%2F%285%2A4%29


tan%28theta%29+=+-15%2F20


tan%28theta%29+=+-3%2F4


-----------------------


tan%282theta%29+=+%282%2Atan%28theta%29%29%2F%281+-+tan%5E2%28theta%29%29


tan%282theta%29+=+%282%2A%28-3%2F4%29%29%2F%281+-+%28-3%2F4%29%5E2%29


tan%282theta%29+=+%282%2A%28-3%2F4%29%29%2F%281+-+9%2F16%29


tan%282theta%29+=+%282%2A%28-3%2F4%29%29%2F%2816%2F16+-+9%2F16%29


tan%282theta%29+=+%282%2A%28-3%2F4%29%29%2F%287%2F16%29


tan%282theta%29+=+%28-6%2F4%29%2F%287%2F16%29


tan%282theta%29+=+%28-3%2F2%29%2F%287%2F16%29


tan%282theta%29+=+%28-3%2F2%29%2A%2816%2F7%29


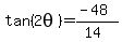
tan%282theta%29+=+%28-3%2A16%29%2F%282%2A7%29


tan%282theta%29+=+%28-48%29%2F%2814%29


tan%282theta%29+=+-24%2F7