Question 871008: Find the solutions in the interval [0, 2pi)
2 cos 3x = 1
This is due tomorrow and I am very confused, any and all help is greatly appreciated :)
Answer by KMST(5347) (Show Source):
You can put this solution on YOUR website! 

The cosine function takes all the positive values between 0 and 1, without repeating in quadrant I and again in quadrant IV.
In quadrants II and III cosine has negative values.
In quadrant I (between 0 and , or if you prefer between and ),
we have .
In quadrant IV , has a cosine of too.
Since cosine has a period of , adding you get an angle with the same cosine.
So all the angles with a cosine of can be expressed as
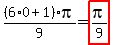
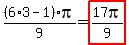
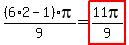
= , for any integer 
If , then --> .
and are outside the interval   .
The solutions in the interval   are
, , , , , .
|
|
|