Question 870540: please help with this word problem: A bridge is to be built in the shape of a
semielliptical arch and is to have a span of 100 feet. The height of the arch at a distance of 40 feet from the center is to be ten feet. find the height of the arch at its center.
Answer by KMST(5328) (Show Source):
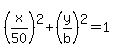
You can put this solution on YOUR website! Here's the half ellipse passing through (-50,0) and (50,0), so its span is 100.
Point (40,10) is 10 feet above point (40,0), which is on the ground, 40 feet from the center of the span.
The height at the center, at point (0,b), is b.
all measurements are in feet
The equation of that ellipse is
<---> 
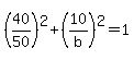
Substituting the coordinates of point (40,10) we get








or .
The height at the center is 
|
|
|