SOLUTION: Please explain the steps to Graph the function over a two period interval: y = 3sin(x-((3pi)/2)
Algebra
->
Trigonometry-basics
-> SOLUTION: Please explain the steps to Graph the function over a two period interval: y = 3sin(x-((3pi)/2)
Log On
Algebra: Trigonometry
Section
Solvers
Solvers
Lessons
Lessons
Answers archive
Answers
Click here to see ALL problems on Trigonometry-basics
Question 868187
:
Please explain the steps to Graph the function over a two period interval:
y = 3sin(x-((3pi)/2)
Answer by
Fombitz(32388)
(
Show Source
):
You can
put this solution on YOUR website!
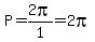
First find the period.
So two periods would be
Break up the
into equally spaced points.
Start at
and step by
until you reach
Calculate
at each point.
0.00 3.00
0.20 2.94
0.39 2.77
0.59 2.49
0.79 2.12
0.98 1.67
1.18 1.15
1.37 0.59
1.57 0.00
1.77 -0.59
1.96 -1.15
2.16 -1.67
2.36 -2.12
2.55 -2.49
2.75 -2.77
2.95 -2.94
3.14 -3.00
3.34 -2.94
3.53 -2.77
3.73 -2.49
3.93 -2.12
4.12 -1.67
4.32 -1.15
4.52 -0.59
4.71 0.00
4.91 0.59
5.11 1.15
5.30 1.67
5.50 2.12
5.69 2.49
5.89 2.77
6.09 2.94
6.28 3.00
6.48 2.94
6.68 2.77
6.87 2.49
7.07 2.12
7.26 1.67
7.46 1.15
7.66 0.59
7.85 0.00
8.05 -0.59
8.25 -1.15
8.44 -1.67
8.64 -2.12
8.84 -2.49
9.03 -2.77
9.23 -2.94
9.42 -3.00
9.62 -2.94
9.82 -2.77
10.01 -2.49
10.21 -2.12
10.41 -1.67
10.60 -1.15
10.80 -0.59
11.00 0.00
11.19 0.59
11.39 1.15
11.58 1.67
11.78 2.12
11.98 2.49
12.17 2.77
12.37 2.94
12.57 3.00
Then plot those points.