SOLUTION: Let the angles of a triangle be α, β, and γ, with opposite sides of length a, b, and c, respectively. Use the Law of Sines to find the remaining sides. (Round your a

Algebra ->  Trigonometry-basics -> SOLUTION: Let the angles of a triangle be α, β, and γ, with opposite sides of length a, b, and c, respectively. Use the Law of Sines to find the remaining sides. (Round your a      Log On


   



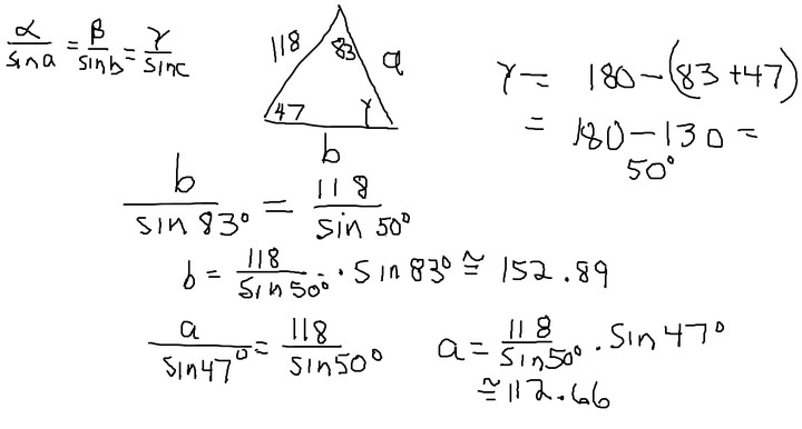
Question 866271: Let the angles of a triangle be α, β, and γ, with opposite sides of length a, b, and c, respectively. Use the Law of Sines to find the remaining sides. (Round your answers to one decimal place.)
α = 47°; β = 83°; c = 118

Answer by fcabanski(1391) About Me  (Show Source):