SOLUTION: Given that P (-4,3), what is the value of csc A, sec A and cot A?
Algebra
->
Trigonometry-basics
-> SOLUTION: Given that P (-4,3), what is the value of csc A, sec A and cot A?
Log On
Algebra: Trigonometry
Section
Solvers
Solvers
Lessons
Lessons
Answers archive
Answers
Click here to see ALL problems on Trigonometry-basics
Question 860741
:
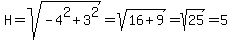
Given that P (-4,3), what is the value of csc A, sec A and cot A?
Answer by
Fombitz(32388)
(
Show Source
):
You can
put this solution on YOUR website!