SOLUTION: Find the center, vertices, and foci of the hyperbola given by the equation ((x+1)^2/9) - ((y+4)^2/7) = 1. I have that the center is (4,-1) from my own work. I'm having difficulty f

Algebra ->  Trigonometry-basics -> SOLUTION: Find the center, vertices, and foci of the hyperbola given by the equation ((x+1)^2/9) - ((y+4)^2/7) = 1. I have that the center is (4,-1) from my own work. I'm having difficulty f      Log On


   



Question 859896: Find the center, vertices, and foci of the hyperbola given by the equation ((x+1)^2/9) - ((y+4)^2/7) = 1. I have that the center is (4,-1) from my own work. I'm having difficulty finding the vertices and foci, as the book does not explain this well. Thank you for your help!
Answer by ewatrrr(24785) About Me  (Show Source):
You can put this solution on YOUR website!
 
Hi,
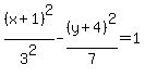
%28x%2B1%29%5E2%2F3%5E2+-+%28y%2B4%29%5E2%2F7+=+1 C(-1,-4) watch your x's and y's
vertices 3 units right and left of Center: (-4,-4) and (2,-4)
foci sqrt(9+7) = 4. Foci 4 units right and left of Center: (-5,-4)and (3, -4)
Standard Form of an Equation of an Hyperbola opening right and left is:
%28x-h%29%5E2%2Fa%5E2+-+%28y-k%29%5E2%2Fb%5E2+=+1 with C(h,k) and vertices 'a' units right and left of center, 2a the length of the transverse axis
Foci are sqrt%28a%5E2%2Bb%5E2%29 units right and left of center along y = k