Question 857860: Find the vertices and foci of the ellipse given by the equaiton 9x^2 + 4y^2 + 36x -8y +4 +0
Answer by lwsshak3(11628) (Show Source):
You can put this solution on YOUR website! Find the vertices and foci of the ellipse given by the equaiton
9x^2 + 4y^2 + 36x -8y +4 +0
9x^2+36x+4y^2-8y=-4
complete the square:
9(x^2+4x+4)+4(y^2-2y+1)=-4+36+4
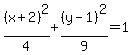
9(x+2)^2+4(y-1)^2=36

This is an equation of an ellipse with vertical major axis.
Its standard form of equation: , a>b, (h,k)=(x,y) coordinates of center
center: (-2,1)
a^2=9
a=3
vertices: (-2, 1±a)=(-2,1±2)=(-2,-1) and (-2,3)
b^2=4
b=2
c^2=a^2-b^2=9-4=5
c=√5≈2.2
foci: (-2, 1±c)=(-2,1±2.2)=(-2,-1.2) and (-2,3.2)
|
|
|