SOLUTION: What is the exact value of cos(2θ) if sinθ=12/13 and θ is in quadrant II?
Algebra
->
Trigonometry-basics
-> SOLUTION: What is the exact value of cos(2θ) if sinθ=12/13 and θ is in quadrant II?
Log On
Algebra: Trigonometry
Section
Solvers
Solvers
Lessons
Lessons
Answers archive
Answers
Click here to see ALL problems on Trigonometry-basics
Question 848040
:
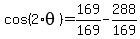
What is the exact value of cos(2θ) if sinθ=12/13 and θ is in quadrant II?
Answer by
Fombitz(32388)
(
Show Source
):
You can
put this solution on YOUR website!