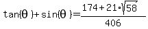
SOLUTION: Find tanθ + sinθ for angle θ when opposite side = 3 and adjacent angle = 7
Algebra
->
Trigonometry-basics
-> SOLUTION: Find tanθ + sinθ for angle θ when opposite side = 3 and adjacent angle = 7
Log On
Algebra: Trigonometry
Section
Solvers
Solvers
Lessons
Lessons
Answers archive
Answers
Click here to see ALL problems on Trigonometry-basics
Question 847637
:
Find tanθ + sinθ for angle θ when opposite side = 3 and adjacent angle = 7
Answer by
Fombitz(32388)
(
Show Source
):
You can
put this solution on YOUR website!