SOLUTION: csc theta, given cos theta =-1/3 and pi/2 is less than theta which is less than pi
Algebra
->
Trigonometry-basics
-> SOLUTION: csc theta, given cos theta =-1/3 and pi/2 is less than theta which is less than pi
Log On
Algebra: Trigonometry
Section
Solvers
Solvers
Lessons
Lessons
Answers archive
Answers
Click here to see ALL problems on Trigonometry-basics
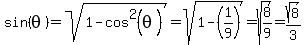
Question 830195
:
csc theta, given cos theta =-1/3 and pi/2 is less than theta which is less than pi
Answer by
lwsshak3(11628)
(
Show Source
):
You can
put this solution on YOUR website!
csc theta, given cos theta =-1/3 and pi/2 is less than theta which is less than pi
(π/2 < theta < π)
(in quadrannt II in which sin>0)