SOLUTION: log base 16 of x + log base 4 of x + log base 2 of x = 7 solve for x

Algebra ->  Trigonometry-basics -> SOLUTION: log base 16 of x + log base 4 of x + log base 2 of x = 7 solve for x      Log On


   



Question 827122: log base 16 of x + log base 4 of x + log base 2 of x = 7
solve for x

Found 2 solutions by lwsshak3, MathTherapy:
Answer by lwsshak3(11628) About Me  (Show Source):
You can put this solution on YOUR website!
log base 16 of x + log base 4 of x + log base 2 of x = 7
solve for x
***

log%282%2C%28x%29%29%2F3%2Blog%282%2C%28x%29%29%2F2%2Blog%282%28x%29%29=7
LCD:6
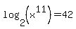
2log%282%2C%28x%29%29%2B3log%282%2C%28x%29%29%2B6log%282%28x%29%29=42
log%282%2C%28x%5E11%29%29=42
2^42=x^11
raise both sides to 1/11 power
x=2^(42/11)
x≈14.10546..

Answer by MathTherapy(10839) About Me  (Show Source):
You can put this solution on YOUR website!
log base 16 of x + log base 4 of x + log base 2 of x = 7

solve for x

The solution, x = 2^(42/11), from the other person, is WRONG!!

   log+%2816%2C+%28x%29%29+%2B+log+%284%2C+%28x%29%29+%2B+log+%282%2C+%28x%29%29+=+7
     
    ------ Changing from base 10 to base 2
    log+%282%2C+%28x%29%29%2F4+%2B+log+%282%2C+%28x%29%29%2F2+%2B+log+%282%2C+%28x%29%29+=+7 ----- , respectively
log+%282%2C+%28x%29%29+%2B+2%2Alog+%282%2C+%28x%29%29+%2B+4%2Alog+%282%2C+%28x%29%29+=+28 ----- Multiplying by LCD, 4
                   7%2Alog+%282%2C+%28x%29%29+=+28
                     log+%282%2C+%28x%29%29+=+28%2F7
                     log+%282%2C+%28x%29%29+=+4
                          highlight%28x+=+2%5E4+=+16%29