SOLUTION: For the acute angle θ , where sinθ=1/√2 , find (cos(π+θ)) and (sec(π/2)+θ))

Algebra ->  Trigonometry-basics -> SOLUTION: For the acute angle θ , where sinθ=1/√2 , find (cos(π+θ)) and (sec(π/2)+θ))      Log On


   



Question 826573: For the acute angle θ , where sinθ=1/√2 , find (cos(π+θ)) and (sec(π/2)+θ))
Answer by jsmallt9(3758) About Me  (Show Source):
You can put this solution on YOUR website!
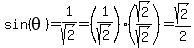
We've been given that sin%28theta%29+=+1%2Fsqrt%282%29. Let's see what happens if we rationalize the denominator:

We should now recognize (if we had not already) that this sin value is a special angle value for sin. theta is a special angle. Specifically it is pi%2F4.

Now that we know theta we can solve our problems.
cos%28pi%2Bpi%2F4%29
pi%2Bpi%2F4 is an angle which terminates in the 3rd quadrant. The reference angle is pi%2F4 and cos is negative in the 3rd quadrant. Since cos%28pi%2F4%29+=+sqrt%282%29%2F2
cos%28pi%2Bpi%2F4%29+=+-sqrt%282%29%2F2

sec%28pi%2F2%2Bpi%2F4%29
For this one we cannot just see the reference angle like we did before. So we will add the fractions and see where are are:
sec%282pi%2F4%2Bpi%2F4%29
sec%283pi%2F4%29
3pi%2F4 is an angle which terminates in the second quadrant (since it is more than pi%2F2 but less than pi. The reference angle will be pi-3pi%2F4=4pi%2F4-3pi%2F4=pi%2F4. Since sec is the reciprocal of cos, it will have the same sign. cos is negative in the second quadrant so sec will be negative, too. And since cos%28pi%2F4%29+=+sqrt%282%29%2F2:
sec%283pi%2F4%29+=+-2%2Fsqrt%282%29
Rationalizing the denominator: