SOLUTION: Write the trigonometric expression sin (cot-1 u) as an algebraic expression in u.

Algebra ->  Trigonometry-basics -> SOLUTION: Write the trigonometric expression sin (cot-1 u) as an algebraic expression in u.      Log On


   



Question 820355: Write the trigonometric expression sin (cot-1 u) as an algebraic expression in u.
Answer by jsmallt9(3758) About Me  (Show Source):
You can put this solution on YOUR website!
cot%5E-1%28u%29 is a reference to an angle. Specifically it is an angle whose cot ratio is "u" or u%2F1

It will probably help if you have a drawing:
  1. Draw a right triangle.
  2. Choose one of the acute angles and label it A. This will be the angle represented by cot%5E-1%28u%29.
  3. We want cot(A) to be u%2F1. Since cot is adjacent/opposite, label the side adjacent to A as "u" and the side opposite to A as "1". This makes cot(A) = u.
Now we want to find the sin(A). Since sin is opposite/hypotenuse and since we do not yet have the the hypotenuse, we must find the hypotenuse next. Using the Pythagorean Theorem we get:
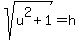
u%5E2+%2B+1%5E2+=+h%5E2 (where "h" stands for the hypotenuse)
Simplifying:
u%5E2+%2B+1+=+h%5E2
Square root of each side. (And since the hypotenuse is never negative, we will use only the positive square root (and not use a + as usual).
sqrt%28u%5E2+%2B+1%29+=+sqrt%28h%5E2%29
sqrt%28u%5E2+%2B+1%29+=+h

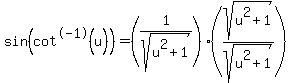
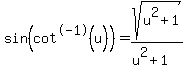
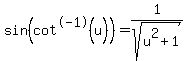
Now we can find the sin (opposite/hypotenuse):
sin%28cot%5E-1%28u%29%29+=+1%2Fsqrt%28u%5E2%2B1%29
This may be an acceptable answer.

But it does have a square root in the denominator. So we may want to rationalize it:

sin%28cot%5E-1%28u%29%29+=+sqrt%28u%5E2%2B1%29%2F%28u%5E2%2B1%29