SOLUTION: help the step by step process for this. establish the identity of sec theta over tan theta-sin theta = 1+ cos theta over sin^3 theta.

Algebra ->  Trigonometry-basics -> SOLUTION: help the step by step process for this. establish the identity of sec theta over tan theta-sin theta = 1+ cos theta over sin^3 theta.      Log On


   



Question 815687: help the step by step process for this.
establish the identity of sec theta over tan theta-sin theta = 1+ cos theta over sin^3 theta.

Answer by jsmallt9(3758) About Me  (Show Source):
You can put this solution on YOUR website!
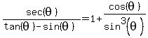
Please put multiple-term numerators and denominators in parentheses. What you posted meant:
sec%28theta%29%2Ftan%28theta%29-sin%28theta%29+=+1%2B+cos%28theta%29+%2F+sin%5E3%28theta%29
But maybe you meant:

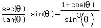
or

etc.
or

etc.

Please re-post your question using parentheses to make the expression clear and unambiguous.