SOLUTION: without using calculater note: pie=3.14 1.sin of pie /= divide 2.cos2 pie 3.tan

Algebra ->  Trigonometry-basics -> SOLUTION: without using calculater note: pie=3.14 1.sin of pie /= divide 2.cos2 pie 3.tan       Log On


   



Question 798881: without using calculater note: pie=3.14
1.sin of pie /= divide
2.cos2 pie
3.tan pie/4
4.cot pie/3
5.sec3pie
6.cosec pie/6
7.sin3pie/4
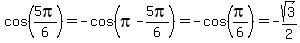
8.cos5pie/6

Answer by KMST(5328) About Me  (Show Source):
You can put this solution on YOUR website!
pi =pi
* = times sign
/ = divide
are commonly used.

Trigonometric functions of any angle can be expressed based on the same function of a reference angle in the first quadrant (between 0 and pi%2F2).
It is a good idea to remember the values of sine, cosine (and maybe tangent) of 0, pi%2F6, pi%2F4, pi%2F3 and pi%2F2, or to have some table or graph with those values handy.
Cotangent, secant and cosecant can be expressed as a function of tangent, cosine, and sine.
1. sin%28pi%29=sin%28pi-pi%29=sin%280%29=0
2. cos%282+pi%29=cos%282pi-2pi%29=cos%280%29=1
3. tan%28pi%2F4%29=1
4.
5.
6. cosec%28pi%2F6%29=1%2Fsin%28pi%2F6%29=1%2F%281%2F2%29=2
7. sin%283pi%2F4%29=sin%28pi-3pi%2F4%29=sin%28pi%2F4%29=sqrt%282%29%2F2
8. cos%285pi%2F6%29=-cos%28pi-5pi%2F6%29=-cos%28pi%2F6%29=-sqrt%283%29%2F2