SOLUTION: i need to prove (cos(x/2)^2)=(tanx+sinx)/2tanx

Algebra ->  Trigonometry-basics -> SOLUTION: i need to prove (cos(x/2)^2)=(tanx+sinx)/2tanx      Log On


   



Question 765444: i need to prove (cos(x/2)^2)=(tanx+sinx)/2tanx
Answer by MathLover1(20850) About Me  (Show Source):
You can put this solution on YOUR website!

start with right side and prove it's equal to left side:
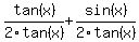
%28tan%28x%29%2Bsin%28x%29%29%2F2tan%28x%29
=tan%28x%29%2F2tan%28x%29%2Bsin%28x%29%2F2tan%28x%29
=%281%2F2%29%28tan%28x%29%2Ftan%28x%29%2Bsin%28x%29%2Ftan%28x%29%29
=%281%2F2%29%281%2Bsin%28x%29%2Ftan%28x%29%29..........since , we have
=%281%2F2%29%281%2Bcos%28x%29%29
=cos%5E2%28x%2F2%29