SOLUTION: If sin(theta) = 3/7, find the exact value of cos (theta)
Algebra
->
Trigonometry-basics
-> SOLUTION: If sin(theta) = 3/7, find the exact value of cos (theta)
Log On
Algebra: Trigonometry
Section
Solvers
Solvers
Lessons
Lessons
Answers archive
Answers
Click here to see ALL problems on Trigonometry-basics
Question 757200
:
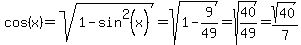
If sin(theta) = 3/7, find the exact value of cos (theta)
Answer by
lwsshak3(11628)
(
Show Source
):
You can
put this solution on YOUR website!
If sin(theta) = 3/7, find the exact value of cos (theta)