SOLUTION: given sin theta= -root 7/4 and theta is in quadrant IV, find the exact value of cos theta/2

Algebra ->  Trigonometry-basics -> SOLUTION: given sin theta= -root 7/4 and theta is in quadrant IV, find the exact value of cos theta/2      Log On


   



Question 752009: given sin theta= -root 7/4 and theta is in quadrant IV, find the exact value of cos theta/2
Answer by lwsshak3(11628) About Me  (Show Source):
You can put this solution on YOUR website!
given sin theta= -root 7/4 and theta is in quadrant IV, find the exact value of cos theta/2
***
cos%28x%2F2%29=sqrt%28%281%2Bcos%28x%29%29%2F2%29
sin%28x%29=-sqrt%287%29%2F4
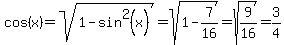
cos%28x%29=sqrt%281-sin%5E2%28x%29%29=sqrt%281-7%2F16%29=sqrt%289%2F16%29=3%2F4
( in Q3 where cos<0)
..
Check with calculator:
sinx=-√7/4 (in Q4)
x=318.49º
x/2=159.30º (in Q3)
cos(x/2)=cos(159.30º)≈-0.9354..
Exact value=-√(7/8)≈-0.9354..