SOLUTION: Please help me answer this question. Use the half-angle formulas to determine the exact value of the given trigonometric expression. tan(3pi/8) a)tan(3pi/8)=sqrt(2)+1 b)ta

Algebra ->  Trigonometry-basics -> SOLUTION: Please help me answer this question. Use the half-angle formulas to determine the exact value of the given trigonometric expression. tan(3pi/8) a)tan(3pi/8)=sqrt(2)+1 b)ta      Log On


   



Question 746331: Please help me answer this question.
Use the half-angle formulas to determine the exact value of the given trigonometric expression.
tan(3pi/8)
a)tan(3pi/8)=sqrt(2)+1
b)tan(3pi/8)=-sqrt(2-sqrt(2))/4
c)tan(3pi/8)=sqrt(2)-1
d)tan(3pi/8)=sqrt(2-sqrt(2))
e)tan(3pi/8)=sqrt(2+sqrt(2))/4

Answer by lwsshak3(11628) About Me  (Show Source):
You can put this solution on YOUR website!
Use the half-angle formulas to determine the exact value of the given trigonometric expression.
tan(3pi/8)
***

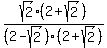
sqrt%282%29%2F%282-sqrt%282%29%29
sqrt%282%29%282%2Bsqrt%282%29%29%2F%282-sqrt%282%29%29%282%2Bsqrt%282%29%29
%282sqrt%282%29%2B2%29%2F%284-2%29
=√2+1 (ans. a)