SOLUTION: Given that sin A= -4/5 where A is in quadrant 3 and sin B= 12/13 where B is in quadrant 2. Find: A. cosA B. cosB C. sec(A-B) D. tan(2A) E. cos(B/2) Help!

Algebra ->  Trigonometry-basics -> SOLUTION: Given that sin A= -4/5 where A is in quadrant 3 and sin B= 12/13 where B is in quadrant 2. Find: A. cosA B. cosB C. sec(A-B) D. tan(2A) E. cos(B/2) Help!      Log On


   



Question 744624: Given that sin A= -4/5 where A is in quadrant 3 and sin B= 12/13 where B is in quadrant 2. Find:
A. cosA
B. cosB
C. sec(A-B)
D. tan(2A)
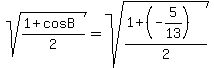
E. cos(B/2)
Help!

Answer by lwsshak3(11628) About Me  (Show Source):
You can put this solution on YOUR website!
Given that sin A= -4/5 where A is in quadrant 3 and sin B= 12/13 where B is in quadrant 2. Find:
A. cosA=-sqrt%281-sin%5E2%28A%29%29=-sqrt%281-%2816%2F25%29%29=-sqrt%289%2F25%29=-3%2F5
..
B. cosB =-sqrt%281-sin%5E2%28B%29%29=-sqrt%281-%28144%2F169%29%29=-sqrt%2825%2F169%29=-5%2F13
..
C. sec(A-B)=1/cos(A-B)
cos(A-B)=cosA cosB+SinA sinB=-3/5*-5/13+(-4/5)*12/13=15/65-48/65=-33/65
sec(A-B)=-65/33
..
D. tan(2A)=(2tanA)/(1-tan^2A)
tanA=sinA/cosA=(-4/5)/(-3/5)=4/3
tan(2A)=(8/3)/(1-16/9)=(8/3)/(-7/9)=-72/21
..
E. cos(B/2)=sqrt%28%281%2BcosB%29%2F2%29=sqrt%28%281%2B%28-5%2F13%29%29%2F2%29%29=√((8/13)/2))=√(8/26)