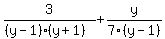
SOLUTION: simplify each sum or difference 3/y^2-1 + y/7y-7
Algebra
->
Trigonometry-basics
-> SOLUTION: simplify each sum or difference 3/y^2-1 + y/7y-7
Log On
Algebra: Trigonometry
Section
Solvers
Solvers
Lessons
Lessons
Answers archive
Answers
Click here to see ALL problems on Trigonometry-basics
Question 740838
:
simplify each sum or difference
3/y^2-1 + y/7y-7
Answer by
MathLover1(20850)
(
Show Source
):
You can
put this solution on YOUR website!