SOLUTION: Draw a picture of each of the functions below, and explain whether or not each is a function, and how you know. (There are 4 graphs with these 4 functions because you also have to

Algebra ->  Trigonometry-basics -> SOLUTION: Draw a picture of each of the functions below, and explain whether or not each is a function, and how you know. (There are 4 graphs with these 4 functions because you also have to       Log On


   



Question 687196: Draw a picture of each of the functions below, and explain whether or not each is a function, and how you know. (There are 4 graphs with these 4 functions because you also have to draw these functions but I didn't know how to put the graph here)
a) %28x-2%29%5E2%2By%5E2=4
b) x%5E2%2B4x%2By=4
c) x%2By=4
d) xy=4

Answer by MathLover1(20850) About Me  (Show Source):
You can put this solution on YOUR website!
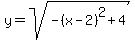
a) %28x-2%29%5E2%2By%5E2=4

It's the one that has y^2 in it because you could have one x value with two different y values ( a positive and a negative, since y^2 is positive for both).
If you you use only y+=+sqrt%28-%28x-2%29%5E2%2B4%29 you wold have a semicircle, which is a function.
On a graph, the idea of single valued means that no vertical line would ever cross more than one value.
If it crosses more than once it is still a valid curve, but it would not be a function.

b) x%5E2%2B4x%2By=4
+graph%28+600%2C+600%2C+-10%2C+10%2C+-10%2C+10%2C+x%5E2%2B4x-4%29+
it is a function
c) x%2By=4
+graph%28+600%2C+600%2C+-10%2C+10%2C+-10%2C+10%2C+-x%2B4%29+
d) xy=4
+graph%28+600%2C+600%2C+-10%2C+10%2C+-10%2C+10%2C+4%2Fx%29+
this is hyperbola

not all hyperbolas are functions, but the one you have IS a function It can also be written as:
y+=+4%2Fx+
the ones that are NOT functions are in the form of x%5E2%2Fa%5E2+-+y%5E2%2Fb%5E2+=+1; whenever y is squared, you do not+have a functions