Use an Addition or Subtraction Formula to find the exact value of the expression.
sin( -5π/12)
=================
@Lynnlo's answer: 0.9659======OR===========-1+√3/2√2, is ALL WRONG!
Isn't the EXACT value needed? .9659 is certainly NOT THAT!! And, I have no idea what "-1+√3/2√2" is!!
=====================
You can use either, sin (A - B) = sin A cos B - cos A sin B (DIFFERENCE-of-2 ANGLES formula), or
sin (A + B) = sin A cos B + cos A sin B (SUM-of-2 ANGLES formula)
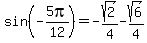
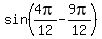
Using sin (A - B) = sin A cos B - cos A sin B (DIFFERENCE-of-2 ANGLES formula)
=
=
sin (A - B) = sin A cos B - cos A sin B
, with
=
=
=======================================================================================
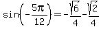
Using sin (A + B) = sin A cos B + cos A sin B (SUM-of-2 ANGLES formula)
=
=
sin (A + B) = sin A cos B + cos A sin B
, with
=
= 