SOLUTION: 3X^2-13X+14/4X * 12X^2/X^3-2X^2 / 9X-21/6 i know you keep change flip to get 3X^2-13X+14/4X * 12X^2/X^3-2X^2 * 6/9X-21 then u factor (which this is probably where i went wrong)

Algebra ->  Trigonometry-basics -> SOLUTION: 3X^2-13X+14/4X * 12X^2/X^3-2X^2 / 9X-21/6 i know you keep change flip to get 3X^2-13X+14/4X * 12X^2/X^3-2X^2 * 6/9X-21 then u factor (which this is probably where i went wrong)       Log On


   



Question 666109: 3X^2-13X+14/4X * 12X^2/X^3-2X^2 / 9X-21/6
i know you keep change flip to get
3X^2-13X+14/4X * 12X^2/X^3-2X^2 * 6/9X-21
then u factor (which this is probably where i went wrong) and get
(3X-6)(3X-7)/4X * 12X^2/X^2(X-2) * 6/3(3X-7)
then u are suposed to reduce any from top to bottom but all i can get rid of are the (3X-7)s
but then i still have a ton on the tops and bottomes so im not shure where to go from here with multiplying the tops and bottomes so if someone could help it would be much apreshiated thanks

Found 2 solutions by ewatrrr, swincher4391:
Answer by ewatrrr(24785) About Me  (Show Source):
You can put this solution on YOUR website!
 
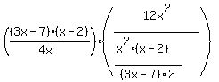
Hi,


Take a look and finish Up

Answer by swincher4391(1107) About Me  (Show Source):
You can put this solution on YOUR website!

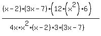
So turn everything into multiplication by flipping (9x-21)/6


Now factor everything

Combine numerator and denominators:

Cancel stuff:

So we're left with %2872%29%2F%2812x%29
Divide through the 12 into the 72 to get:
6%2Fx