SOLUTION: I cant seem to figure this problem out. Any help would be greatly appreciated. Ok here it is - Find the smallest positive number x, so that sin(x^2+3x+1)=-1? any Ideas. Thank you

Algebra ->  Trigonometry-basics -> SOLUTION: I cant seem to figure this problem out. Any help would be greatly appreciated. Ok here it is - Find the smallest positive number x, so that sin(x^2+3x+1)=-1? any Ideas. Thank you       Log On


   



Question 662514: I cant seem to figure this problem out. Any help would be greatly appreciated. Ok here it is -
Find the smallest positive number x, so that sin(x^2+3x+1)=-1? any Ideas. Thank you for your time.

Answer by Alan3354(69443) About Me  (Show Source):
You can put this solution on YOUR website!
Find the smallest positive number x, so that sin(x^2+3x+1)=-1?
---------
sin(x^2+3x+1)=-1
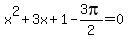
(x^2+3x+1) = 3pi/2 or -pi/2
x%5E2%2B3x%2B1+=+3pi%2F2
x%5E2+%2B+3x+%2B+1+-+3pi%2F2+=+0
------
Or,
x%5E2+%2B+3x+%2B+1+%2B+pi%2F2+=+0
Solve for x