SOLUTION: Please help me solve this problem: 3/8+5(x+4)^3=9 I've tried taking the cube root of both sides but then 9 doesn't have a cube root and i'm not sure what i'm suppose to do.

Algebra ->  Trigonometry-basics -> SOLUTION: Please help me solve this problem: 3/8+5(x+4)^3=9 I've tried taking the cube root of both sides but then 9 doesn't have a cube root and i'm not sure what i'm suppose to do.       Log On


   



Question 635950: Please help me solve this problem: 3/8+5(x+4)^3=9
I've tried taking the cube root of both sides but then 9 doesn't have a cube root and i'm not sure what i'm suppose to do.
Thank you

Answer by MathTherapy(10555) About Me  (Show Source):
You can put this solution on YOUR website!

Please help me solve this problem: 3/8+5(x+4)^3=9
I've tried taking the cube root of both sides but then 9 doesn't have a cube root and i'm not sure what i'm suppose to do.
Thank you

3%2F8+%2B+5%28x+%2B+4%29%5E3+=+9

5%28x+%2B+4%29%5E3+=+9+-+%283%2F8%29

5%28x+%2B+4%29%5E3+=+%2872%2F8%29+-+%283%2F8%29

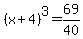
5%28x+%2B+4%29%5E3+=+69%2F8

%28x+%2B+4%29%5E3+=+%2869%2F8%29%2F5

%28x+%2B+4%29%5E3++=+%2869%2F8%29%281%2F5%29

%28x+%2B+4%29%5E3+=+69%2F40

root%283%2C%28x+%2B+4%29%5E3%29+=+root%283%2C%2869%2F40%29%29

x + 4 = 1.199305153

x = 1.199305153 - 4

x = highlight%28-+2.800694847%29highlight_green%28-+2.8%29

Send comments and “thank-yous” to “D” at MathMadEzy@aol.com