SOLUTION: Verify the identity. csc^4theta - csc^2theta = cot^4theta + cot^2theta

Algebra ->  Trigonometry-basics -> SOLUTION: Verify the identity. csc^4theta - csc^2theta = cot^4theta + cot^2theta      Log On


   



Question 633784: Verify the identity.
csc^4theta - csc^2theta = cot^4theta + cot^2theta

Answer by jsmallt9(3758) About Me  (Show Source):
You can put this solution on YOUR website!
csc%5E4%28theta%29+-+csc%5E2%28theta%29+=+cot%5E4%28theta%29+%2B+cot%5E2%28theta%29
There's two keys to this:
  • A 4th power is the same as squared squared. So csc%5E4%28theta%29+=+%28csc%5E2%28theta%29%29%5E2; and
  • There is an identity that connects csc squared and cot squared: csc%5E2%28x%29+=+cot%5E2%28x%29+%2B+1
Once you recognize these two facts, this is a farily simple problem.

1. Rewrite the left side in terms of csc squared:

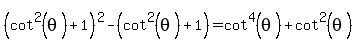
2. Replace the csc squared's with cot squared plus one:

3. Simplify. I'll leave this part up to you with these hints:
  1. Use FOIL or the %28a%2Bb%29%5E2+=+a%5E2%2B2ab%2Bb%5E2 pattern to multiply out %28cot%5E2%28theta%29%2B1%29%5E2.
  2. Combine like terms while being careful to notice the minus in front of %28cot%5E2%28theta%29%2B1%29.

If you do this correctly the left side matches the right side fairly quickly.