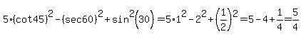
SOLUTION: without using calculator, show that 5 cot^2 45 degree - sec^2 60 degree + sin^2 30 degree = 5/4
Algebra
->
Trigonometry-basics
-> SOLUTION: without using calculator, show that 5 cot^2 45 degree - sec^2 60 degree + sin^2 30 degree = 5/4
Log On
Algebra: Trigonometry
Section
Solvers
Solvers
Lessons
Lessons
Answers archive
Answers
Click here to see ALL problems on Trigonometry-basics
Question 632109
:
without using calculator, show that 5 cot^2 45 degree - sec^2 60 degree + sin^2 30 degree = 5/4
Answer by
Tatiana_Stebko(1539)
(
Show Source
):
You can
put this solution on YOUR website!
,
,