SOLUTION: Describe the pattern formed in the sequence 16,-8,4,-2,1... Find the next three terms.

Algebra ->  Trigonometry-basics -> SOLUTION: Describe the pattern formed in the sequence 16,-8,4,-2,1... Find the next three terms.      Log On


   



Question 628220: Describe the pattern formed in the sequence 16,-8,4,-2,1...
Find the next three terms.

Answer by ewatrrr(24785) About Me  (Show Source):
You can put this solution on YOUR website!
 
Hi,
Geometric Sequence: {16,-8,4,-2,1...} r = -1/2
a%5Bn%5D+=+a%5B1%5D%28-1%2F2%29%5E%28n-1%29
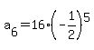
a%5B6%5D+=+16%28-1%2F2%29%5E5%29
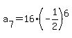
a%5B7%5D+=+16%28-1%2F2%29%5E6%29
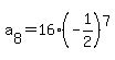
a%5B8%5D+=+16%28-1%2F2%29%5E7%29