SOLUTION: Tan 195 degrees

Algebra ->  Trigonometry-basics -> SOLUTION: Tan 195 degrees       Log On


   



Question 625300: Tan 195 degrees
Answer by jsmallt9(3758) About Me  (Show Source):
You can put this solution on YOUR website!
I assume that the instructions for the problem say to find the exact value. Otherwise we could just use our calculators and it wouldn't be much of a problem. (Please include the instructions so we don't have to guess.)

Whenever the expression "exact value" is used in Trig. it is cods for "use special angles". 195 has a reference angle of 15 which is not a special angle. So 195 itself is not a special angle (which would have made this problem easy).

Now we have to find a way to express 195 in terms of special angles. We have to ask ourselves:
  • Is 195 the sum of two special angles?
  • Is 195 the difference of two special angles?
  • Is 195 the 1/2 of a special angle?
  • Is 195 the some other combination of special angles?
If you're lucky, you will be able to answer "yes" to one of the first three questions. That is because we have formulas for sums, differences and halves of angles.

With a little effort we should be able to answer "yes" to the first two equations:
195 = 150 + 45
and
195 = 240 - 45
So we will be able to get an answer in two ways:
tan(195)
tan(150+45)
Using the formula tan%28A%2BB%29+=+%28tan%28A%29%2Btan%28B%29%29%2F%281-tab%28A%29%2Atan%28B%29%29 we get:
%28tan%28150%29+%2B+tan%2845%29%29%2F%281-tan%28150%29%2Atan%2845%29%29
We should be able to find these tan's easily since they are all special angles:
%28%28-sqrt%283%29%2F3%29+%2B+%281%29%29%2F%281-%28-sqrt%283%29%2F3%29%2A%281%29%29
which simplifies as follows:
%28-sqrt%283%29%2F3+%2B+1%29%2F%281%2Bsqrt%283%29%2F3%29
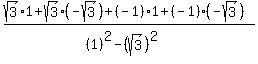
Multiplying the numerator and denominator by 3:
%28-sqrt%283%29+%2B+3%29%2F%283%2Bsqrt%283%29%29
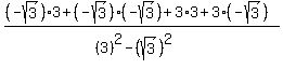
Rationalizing the denominator:


%28-3sqrt%283%29+%2B+3+%2B+9+%2B+%28-3sqrt%283%29%29%29%2F%289-3%29
%28-6sqrt%283%29+%2B+12%29%2F6
%286%28-sqrt%283%29+%2B+2%29%29%2F6
%28cross%286%29%28-sqrt%283%29+%2B+2%29%29%2Fcross%286%29
-sqrt%283%29+%2B+2


Another solution using 240 - 45:
tan(195)
tan(240-45)
Using tan%28A-B%29+=+%28tan%28A%29-tan%28B%29%29%2F%281%2Btab%28A%29%2Atan%28B%29%29
%28tan%28240%29+-+tan%2845%29%29%2F%281%2Btan%28240%29%2Atan%2845%29%29
%28%28sqrt%283%29%29+-+%281%29%29%2F%281%2B%28sqrt%283%29%29%2A%281%29%29
%28sqrt%283%29+-+1%29%2F%281%2Bsqrt%283%29%29
Rationalizing the denoinator:


%28sqrt%283%29+%2B+%28-3%29%2B%28-1%29%2Bsqrt%283%29%29%2F%281-3%29
%282sqrt%283%29+%2B+%28-4%29%29%2F%28-2%29
%28%28-2%29%28-sqrt%283%29+%2B+2%29%29%2F%28-2%29
%28cross%28%28-2%29%29%28-sqrt%283%29+%2B+2%29%29%2Fcross%28%28-2%29%29
-sqrt%283%29+%2B+2

So either way we find that the exact value of tan(195) is -sqrt%283%29+%2B+2.