SOLUTION: the question is find the exact value of sin theta if cos theta=5/7 and theta terminates in quadrant 4. Draw the angle theta in standard position and the exact valu of sin theta?

Algebra ->  Trigonometry-basics -> SOLUTION: the question is find the exact value of sin theta if cos theta=5/7 and theta terminates in quadrant 4. Draw the angle theta in standard position and the exact valu of sin theta?       Log On


   



Question 618255: the question is find the exact value of sin theta if cos theta=5/7 and theta terminates in quadrant 4. Draw the angle theta in standard position and the exact valu of sin theta?

Answer by jsmallt9(3759) About Me  (Show Source):
You can put this solution on YOUR website!
We can use sin%5E2%28theta%29+=+1+-+cos%5E2%28theta%29 and the fact that theta terminates in the 4th quadrant to find sin%28theta%29.

sin%5E2%28theta%29+=+1+-+cos%5E2%28theta%29
Inserting the given value for cos%28theta%29:
sin%5E2%28theta%29+=+1+-+%285%2F7%29%5E2
Simplifying...
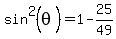
sin%5E2%28theta%29+=+1+-+25%2F49
sin%5E2%28theta%29+=+49%2F49+-+25%2F49
sin%5E2%28theta%29+=+24%2F49
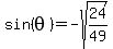
So sin%28theta%29 is one of the square roots of 24/49. Since theta terminates in the 4th quadrant and since sin is negative in the 4th quadrant, we know to use the negative square root:
sin%28theta%29+=+-sqrt%2824%2F49%29
which simplifies:
sin%28theta%29+=+-sqrt%2824%29%2Fsqrt%2849%29
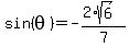
sin%28theta%29+=+-sqrt%284%2A6%29%2F7
sin%28theta%29+=+-%28sqrt%284%29%2Asqrt%286%29%29%2F7
sin%28theta%29+=+-%282%2Asqrt%286%29%29%2F7

I'll leave the drawing up to you.