Question 577631: What's the Exact Value for Sin 13π/12 degrees ? Without using a calculator
Answer by KMST(5328) (Show Source):
You can put this solution on YOUR website! , so our reference angle is 
We calculate by reference to angles in the first quadrant whose terminal sides are reflections on the axes or the origin, and whose trigonometric functions have the same absolute value.
The two angles differ by or 
is in the first quadrant, where sine and cosine are positive, while
is in the third quadrant where sine and cosine are negative.

The only angles in the first quadrant whose trigonometric function values I remember are , , , and (0, 30, 45, 60, and 90 degrees).
For any other angles, I need those trigonometric identity formulas.
I search for them, and find
with a sign to be determined
I know that 
, and both angles are in the first quadrant with positive values for ther trigonometric functions, so

(If there is a way to make it look prettier than that, I do not know it.)
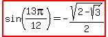
So
|
|
|