SOLUTION: 1. Find the complement of a 51 ° 49' angle. a. 38 ° 11' b. 128 ° 11' c. 38 ° 51' d. 128 ° 51' 2. Find the supplement of the radian measure 7 π /8. Express your an

Algebra ->  Trigonometry-basics -> SOLUTION: 1. Find the complement of a 51 ° 49' angle. a. 38 ° 11' b. 128 ° 11' c. 38 ° 51' d. 128 ° 51' 2. Find the supplement of the radian measure 7 π /8. Express your an      Log On


   



Question 57555: 1. Find the complement of a 51 ° 49' angle.
a. 38 ° 11'
b. 128 ° 11'
c. 38 ° 51'
d. 128 ° 51'

2. Find the supplement of the radian measure 7 π /8. Express your answer in terms of π .
a. 13 π /8
b. π /8
c. 9 π /8
d. 5 π /8

3. Classify 725 ° by quadrant, and state the positive angle with measure less than 360 ° that is coterminal with it.
a. Quadrant II, 95 °
b. Quadrant I, 5 °
c. Quadrant IV, 275 °
d. Quadrant III, 185 °

4. Convert 105 ° to exact radian measure.
a. 6 π /7
b. 12 π /7
c. 7 π /6
d. 7 π /12

5. Convert the radian measure 7 π /5 to exact degree measure.
a. 128.5 °
b. 252 °
c. 504 °
d. 126 °

6. Convert the radian measure 1.6 to degree measure to the nearest hundredth of a degree.
a. 91.67 °
b. 288 °
c. 183.35 °
d. 97.40 °

7. Find the measure in radians of the central angle of a circle with radius 4 inches and arc length 8 inches.
a. 32
b. 0.5
c. 2
d. 2 π

Found 2 solutions by rcmcc, funmath:
Answer by rcmcc(152) About Me  (Show Source):
You can put this solution on YOUR website!
Just to remind you, we are here to help students with problematic questions, we are not here to do your homework for you.
1)a
2)b
3)b
4)d
5)a
6)a
7)c
You dident ask a question so I dont know what work you need help with, and because they are all simple calculator questions, you should be able to figure it out by yourself.
Good luck on your test!!

Answer by funmath(2933) About Me  (Show Source):
You can put this solution on YOUR website!
1. Find the complement of a 51 ° 49' angle.
highlight%28a%29. 38 ° 11'
b. 128 ° 11'
c. 38 ° 51'
d. 128 ° 51'
:
90-51%5Eo49'=89%5Eo60'-51%5Eo49'=38%5Eo11'
:
2. Find the supplement of the radian measure 7%2A%28pi%29%2F8. Express your answer in terms of pi .
a. 13%28pi%29%2F8
highlight%28b%29. pi%2F8
c. 9%28pi%29%2F8
d. 5%28pi%29%2F8
:
pi-7%28pi%29%2F8
8%28pi%29%2F8-7%28pi%29%2F8=%28pi%29%2F8
:
3. Classify 725 ° by quadrant, and state the positive angle with measure less than 360 ° that is coterminal with it.
a. Quadrant II, 95 °
highlight%28b%29. Quadrant I, 5 °
c. Quadrant IV, 275 °
d. Quadrant III, 185 °
:
725-2(360)=5
:
4. Convert 105 ° to exact radian measure.
a. 6%28pi%29%2F7
b. 12%28pi%29%2F7
c. 7%28pi%29%2F6
highlight%28d%29. 7%28pi%29%2F12
:
105%28pi%2F180%29=%28105%2F180%29%2Api
%28%2815%2A7%29%2F%2815%2A12%29%29%2Api=7%28pi%29%2F12
:
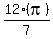
5. Convert the radian measure 7%28pi%29%2F5 to exact degree measure.
a. 128.5 °
highlight%28b%29. 252 °
c. 504 °
d. 126 °
:
%287%28pi%29%2F5%29%2A%28180%2Fpi%29=7%2A36=252
:
6. Convert the radian measure 1.6 to degree measure to the nearest hundredth of a degree.
highlight%28a%29. 91.67 °
b. 288 °
c. 183.35 °
d. 97.40 °
:
1.6%28180%2F%28pi%29%29=91.67324722
:
7. Find the measure in radians of the central angle of a circle with radius 4 inches and arc length 8 inches.
a. 32
b. 0.5
highlight%28c%29. 2
d. 2 pi;
:
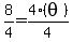
s=r%28theta%29, where s=arc length, r=radius, and theta=central angle in radians.
8=4%28theta%29
8%2F4=4%28theta%29%2F4
2=%28theta%29
Happy Calculating!!!