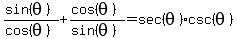
SOLUTION: establish the identity {{{ tan(theta) + cot(theta)=sec(theta)*csc(theta) }}}
Algebra
->
Trigonometry-basics
-> SOLUTION: establish the identity {{{ tan(theta) + cot(theta)=sec(theta)*csc(theta) }}}
Log On
Algebra: Trigonometry
Section
Solvers
Solvers
Lessons
Lessons
Answers archive
Answers
Click here to see ALL problems on Trigonometry-basics
Question 540511
:
establish the identity
Answer by
jim_thompson5910(35256)
(
Show Source
):
You can
put this solution on YOUR website!