SOLUTION: If cosα=4/5 and cosβ=12/13, find sin(α+β) when α and β are the measures of two first-quadrant angles. Give answer as a fraction.

Algebra ->  Trigonometry-basics -> SOLUTION: If cosα=4/5 and cosβ=12/13, find sin(α+β) when α and β are the measures of two first-quadrant angles. Give answer as a fraction.       Log On


   



Question 515399: If cosα=4/5 and cosβ=12/13, find sin(α+β) when α and β are the measures of two first-quadrant angles. Give answer as a fraction.
Answer by drcole(72) About Me  (Show Source):
You can put this solution on YOUR website!
To find sin%28alpha+%2B+beta%29, we need to use the sum formula for sine:
sin%28alpha+%2B+beta%29+=+sin%28alpha%29%2Acos%28beta%29+%2B+cos%28alpha%29%2Asin%28beta%29
We have cos%28alpha%29+=+4%2F5 and cos%28beta%29+=+12%2F13, and we know that alpha and beta are first quadrant angles, which implies that both sin%28alpha%29 and sin%28beta%29 are positive. To find sin%28alpha%29, recall the trigonometric identity:
%28sin%28alpha%29%29%5E2+%2B+%28cos%28alpha%29%29%5E2+=+1
Using what we know, we can solve for sin%28alpha%29:
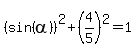
%28sin%28alpha%29%29%5E2+%2B+%284%2F5%29%5E2+=+1 (substituting 4%2F5 for cos%28alpha%29)
%28sin%28alpha%29%29%5E2+%2B+16%2F25+=+1 (simplifying)
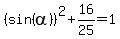
%28sin%28alpha%29%29%5E2+=+1+-+16%2F25 (subtracting 16%2F25 from both sides)
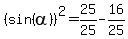
%28sin%28alpha%29%29%5E2+=+25%2F25+-+16%2F25 (putting all terms on the right side under a common denominator)
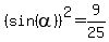
%28sin%28alpha%29%29%5E2+=+9%2F25 (simplifying)
sin%28alpha%29+=+3%2F5 (taking the positive square root of both sides, since we know sin%28alpha%29 is positive)
Using the same sort of calculation, we get that sin%28beta%29+=+5%2F13. So now we substitute into the sum formula:
sin%28alpha+%2B+beta%29+=+sin%28alpha%29%2Acos%28beta%29+%2B+cos%28alpha%29%2Asin%28beta%29
sin%28alpha+%2B+beta%29+=+%283%2F5%29%2A%2812%2F13%29+%2B+%284%2F5%29%2A%285%2F13%29 (substituting)
sin%28alpha+%2B+beta%29+=+36%2F65+%2B+20%2F65 (simplifying)
sin%28alpha+%2B+beta%29+=+56%2F65 (simplifying)