SOLUTION: find x if sin2x=-1/2

Algebra ->  Trigonometry-basics -> SOLUTION: find x if sin2x=-1/2      Log On


   



Question 513762: find x if sin2x=-1/2
Answer by Gogonati(855) About Me  (Show Source):
You can put this solution on YOUR website!
sin%282x%29=-1%2F2 As you know sin%287pi%2F6%29=-1%2F2 and +sin%28-pi%2F6%29=-1%2F2
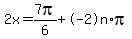
Therefore the solution is: 2x=7pi%2F6%2B-2n%2Api => x=7pi%2F12%2B-n%2Api, and
2x=-pi%2F6%2B-2n%2Api => x=-pi%2F12%2B-n%2Api, where n=+-1, +-2, ...