SOLUTION: convert each degree measure to exact radian measure -415 -519 570 -174 473 905 -799 100 44 401 270 812 -712 -623 -332 633 -54 -228 -875 763 217 -790 299 -8

Algebra ->  Trigonometry-basics -> SOLUTION: convert each degree measure to exact radian measure -415 -519 570 -174 473 905 -799 100 44 401 270 812 -712 -623 -332 633 -54 -228 -875 763 217 -790 299 -8      Log On


   



Question 507181: convert each degree measure to exact radian measure
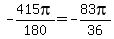
-415
-519
570
-174
473
905
-799
100
44
401
270
812
-712
-623
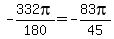
-332
633
-54
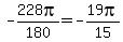
-228
-875
763
217
-790
299
-81
-705
513
374
-321
-239
123

Answer by Edwin McCravy(20060) About Me  (Show Source):
You can put this solution on YOUR website!
convert each degree measure to exact radian measure
You multiply by pi%2F180 and the reduce the fraction
if it can be reduced. That's all there is to it!
-415 = -415pi%2F180=-83pi%2F36
-519 = -519pi%2F180=-173pi%2F60
570 = 570pi%2F180=19pi%2F6
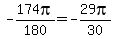
-174 = -174pi%2F180=-29pi%2F30
473 = 473pi%2F180
905 = 905pi%2F180=181pi%2F36
-799 = -799pi%2F180
100 = 100pi%2F180=5pi%2F9
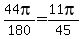
44 = 44pi%2F180=11pi%2F45
401 = 401pi%2F180
270 = 270pi%2F180=3pi%2F2
812 = 812pi%2F180=203pi%2F45
-712 = -712pi%2F180=-178pi%2F45
-623 = -623pi%2F180=-623pi%2F180
-332 = -332pi%2F180=-83pi%2F45
633 = 633pi%2F180=211pi%2F60
-54 = -54pi%2F180=-3pi%2F10
-228 = -228pi%2F180=-19pi%2F15
-875 = -875pi%2F180=-175pi%2F36
763 = 763pi%2F180
217 = 217pi%2F180
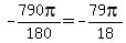
-790 = -790pi%2F180=-79pi%2F18
299 = 299pi%2F180
-81 = -81pi%2F180=-9pi%2F20
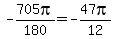
-705 = -705pi%2F180=-47pi%2F12
513 = 513pi%2F180=57pi%2F20
374 = 374pi%2F180=187pi%2F90
-321 = -321pi%2F180=-107pi%2F60
-239 = -239pi%2F180
123 = 123pi%2F180=41pi%2F60
Edwin