Question 472993: Please help me find the general form of the equation of the circle
With endpoints of a diameter at (-6,-2) and (-4,4)
Answer by jim_thompson5910(35256) (Show Source):
You can put this solution on YOUR website! Recall that the general equation of a circle is .
So we need the center (h,k) and the radius squared .
First, let's find the center (h,k).
Since the center is the midpoint of the line segment with endpoints (-6,-2) and (-4,4), we need to find the midpoint.
X-Coordinate of Midpoint =
Since the x coordinate of midpoint is , this means that
Y-Coordinate of Midpoint =
Since the y coordinate of midpoint is , this means that
So the center is the point (-5, 1)
---------------------------------------------------
Now let's find the radius squared
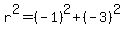
Use the formula , where (h,k) is the center and (x,y) is an arbitrary point on the circle.
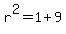
In this case, and . Also, and (drawn from one of the given points -- namely the first one). Plug these values into the equation above and simplify to get:
So because , , and , this means that the equation of the circle that passes through the points (-6,-2) and (-4,4) (which are the endpoints of the diameter) is
.
So the answer is 
|
|
|