SOLUTION: please help me solve dis question:- secѲ-1=(√2-1)tanѲ??

Algebra ->  Trigonometry-basics -> SOLUTION: please help me solve dis question:- secѲ-1=(√2-1)tanѲ??      Log On


   



Question 472338: please help me solve dis question:- secѲ-1=(√2-1)tanѲ??
Answer by Alan3354(69443) About Me  (Show Source):
You can put this solution on YOUR website!
-sec%28t%29+-+1+=+%28sqrt%282%29+-+1%29%2Atan%28t%29
Multiply by cos(t)
-1+-+cos%28t%29+=+%28sqrt%282%29+-+1%29%2Asin%28t%29
cos%28t%29+%2B+1+=+%281+-+sqrt%282%29%29%2Asin%28t%29
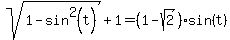
sqrt%281+-+sin%5E2%28t%29%29+%2B+1+=+%281+-+sqrt%282%29%29%2Asin%28t%29
Sub x for sin(t)
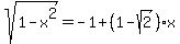
sqrt%281+-+x%5E2%29+%2B+1+=+%281+-+sqrt%282%29%29%2Ax
sqrt%281+-+x%5E2%29+=+-1+%2B+%281+-+sqrt%282%29%29%2Ax
sqrt%281+-+x%5E2%29+=+-1+%2B+x+-+sqrt%282%29%2Ax
Square both sides
1+-+x%5E2+=+1+%2B+x%5E2+%2B+2x%5E2+%2B+2sqrt%282%29%2Ax+-+2sqrt%282%29%2Ax%5E2
0+=+x%5E2%2A%284+-+sqrt%288%29%29+%2B+2sqrt%282%29%2Ax
------------------
x = 0, not allowed since sec(0) is undefined
-------------------
0+=+x%2A%284+-+sqrt%288%29%29+%2B+2sqrt%282%29
---------------
x = 0 again --> no solution
-------------
Many chances for errors, I'll check it again later.